中国科学院昆明植物研究所
location
当前位置:首页 > 新闻动态 > 科研进展
left
新闻动态
科研进展

昆明植物所在云南小粒咖啡化学研究取得新进展

文章来源:植物化学与西部植物资源持续利用国家重点实验室  |  发布时间:2019-01-28  |  作者:王霞,胡贵林,邱明华  |  浏览次数:  |  【打印】 【关闭

 

  咖啡作为全球最受欢迎的饮料之一,其成分和生理作用一直是各国科学家们的关注热点。中国作为全球最大的新兴咖啡消费市场,吸引了大量投资者的目光,也促进了云南高原特色农业小粒咖啡的种植加工产业的快速发展。据不完全统计2017/2018年度,云南小粒咖啡种植面积达到180万亩,年产云南小粒咖啡总量达到16.47万吨,占世界同期咖啡产量的1.7%,占我国咖啡产量的99%以上。与我国咖啡庞大的生产量和消费量不成比例的是云南咖啡中天然活性功能分子持续挖掘研究工作的缺乏,因此为了向咖啡行业注入新活力。特别是云南小粒的化学成分及其功能的研究,除常规分析外尚属空白。中国科学院昆明植物研究所天然药物新药研发团队邱明华研究组对云南小粒咖啡果实及种子进行深入化学成分研究,建立了NMR快速分析咖啡化学成分的技术体系;从云南产区的各种咖啡样品,发现了40多个新天然化学结构,为全球的咖啡化学成分研究开辟了一些新的咖啡分子资源;正在进行咖啡风味特征和化学成分的内在关联性研究。在此将近期发表的咖啡化学研究新进展,简要介绍如下: 

  1. 云南小粒咖啡熟豆中的新型二萜苷 

  咖啡熟豆是指烘焙后的咖啡种子,经过研磨冲泡过滤即得到咖啡饮品。对普洱产云南小粒咖啡熟豆提取物的化学研究表明熟豆中的二萜成分多以糖苷形式存在,并从中发现了4个新对映-贝壳杉烷型(ent-kaurane)二萜苷。同时首次发现了自然界存在数量极少的对映-滨海孪生花烷型(villanovane二萜苷类成分,丰富了人们对咖啡熟豆中二萜类成分的认识。但这些化学成分对HL-60, SMMC-7721, A-549, MCF-7, SW4805种肿瘤细胞株没有抑制活性。研究结果以“Characterization of diterpenoid glucosides in roasted Puer coffee beans”为题发表在Top3.5%的刊物Journal of Agricultural and Food Chemistry, 2014, 62:2631-2637)。 

  文章链接 

 

1. 云南小粒咖啡熟豆中新二萜苷的结构1-5  

  2. 云南小粒咖啡中新型咖啡二萜内酯的发现 

  咖啡醇是咖啡中特征的二萜成分,一般是二萜的A环上含有一个四氢呋喃并环存在。而从云南小粒咖啡中发现了8个咖啡醇二萜的A环含有一个a,b不饱和g-内酯并环基团存在的,首次从咖啡中分离得到的一类新型咖啡醇二萜内酯(cafestolactone)。云南小粒咖啡生豆中存在大量新型咖啡二萜内酯的脂肪酸脂类化合物1-8 (2) 

 

2 新型咖啡二萜内酯的化学结构1-8 

  化合物1-8中的脂肪酸除NMR技术鉴定外,通过GC分析确定。这些咖啡二萜内酯化合物中,化合物3,46表现出一定的体外激活血小板聚集活性,在0.4mg/ml浓度下,诱导率分别为11.4% , 15.8% 7.8%,。这些化合物的结构和活性以“Identification of new diterpene esters from green Arabica coffee beans, and their platelet aggregation accelerating activities”发表在在领域Top5.3%刊物Food Chemistry. 2018, 263, 251 257. 。 

  文章链接 

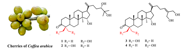
  3. 云南小粒咖啡果实中新型二萜和咖啡二萜内酯的发现 

  从云南小粒咖啡DR132品种(黄果)的咖啡果(日晒豆)中,分离鉴定了37个化学成分,其中5个为新二萜化合物(图3)。新化合物caffruenol A-B1-2),是18 19位甲基重排为 Δ(4,18)的新型二萜成分,从未见过报道。除新型咖啡二萜醇类化合物之外,再次从咖啡中分离得到的6个新型咖啡醇二萜内酯(cafestolactone)化合物,包括3个新化合物(3-5),证实了云南小粒咖啡中二萜内脂类二萜的存在。咖啡醇二萜内酯(cafestolactone)化合物目前尚未见其他国家和地区的咖啡化学成分中报道,是否为云南小粒咖啡比较特征的一类成分,需要对比研究。以上研究成果以“Ent-kaurane diterpenoids from the cherries of Coffea arabica”为题近期发表在Fitoterapia. 2019, 1327-11. (doi:10.1016/ j.fitote.2018.08.023) 

 

3 新型二萜和咖啡二萜内酯的化学结构1-5 

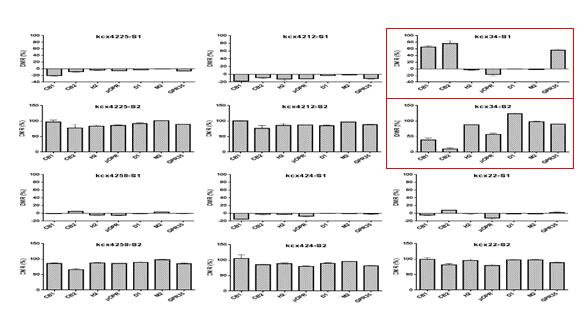
  对咖啡中部分二萜成进行GPCR靶点的活性筛选,发现云南小粒咖啡中二萜化合物16β-17-hydroxy-ent-kauran-19-oic acid10具有大麻素受体CB1CB2激动活性(图3)。(中国科学院大学KIB硕士论文,王霞,2018 

 

4 化合物10的大麻素受体CB1CB2激动活性 

  4. 云南小粒咖啡果实中新达玛烷萜三萜 

  从云南德宏热科所自主选育的黄皮小粒咖啡品种德热132DR 132)的干燥果实(日晒豆)中,还发现了4个新达玛烷型 dammarane)三萜成分(caffruones A–D),这是首次在咖啡属植物中发现四环三萜类成分(图5),说明云南小粒咖啡中次生代谢成分结构多样性及丰富的分子资源。研究结果抢先发表在Natural Products and Bioprospecting, 2018, 8413-418 

  文章链接 

 

5 咖啡中新达玛烷三萜的结构1-4 

  云南小粒咖啡的化学成分及其活性的研究项目得到了国家自然科学基金(No.31670364),云南省重点新产品计划(2015BB002),普洱市专项资金(2017)和邱明华专家工作站项目(2018)和植物化学国家重点室开放基金项目(P2015-ZZ09)等的资助。这些研究成果为我国小粒咖啡化学成分及其功能的大量新发现,为我国咖啡产业的快速发展奠定了基础。 

  (责任编辑:李雪) 


中国科学院昆明植物研究所

版权所有 Copyright © 2002-2025 中国科学院昆明植物研究所,All Rights Reserved 【滇ICP备05000394号
地址:中国云南省昆明市蓝黑路132号  邮政编码:650201    点击这里联系我们