中国科学院昆明植物研究所
location
当前位置:首页 > 新闻动态 > 科研进展
left
新闻动态
科研进展

昆明植物所在沿海拔梯度变化的森林群落构建机制研究取得新进展

文章来源:中国科学院东亚植物多样性与生物地理学重点实验室  |  发布时间:2019-07-30  |  作者:罗亚皇  |  浏览次数:  |  【打印】 【关闭

 

  森林群落构建机制是群落生态学研究的一个重要科学问题。在森林群落中,生态过程在不同空间尺度和不同垂直结构中的作用尚不清楚,需要量化不同生态因子对群落构建作用的影响。近年来,功能多样性和系统发育多样性的研究为探究群落构建机制提供了新思路。 

  2013年以来,中国科学院昆明植物研究所植物多样性演化和生态适应团队高连明研究组与植物多样性与基因组学团队李德铢研究组依托丽江森林生态系统定位研究站,以玉龙雪山海拔梯度样带为研究平台,基于系统发育信息和功能性状对森林垂直群落的构建机制和生态因子的相对作用开展了深入研究。研究发现森林垂直群落的构建机制不同:乔木层的系统发育和功能结构表现出一致性,在低海拔和高海拔呈聚集结构,表明环境过滤(如低海拔的干旱和高海拔的低温)可能起主导作用,而在中海拔呈离散结构,推断竞争排斥可能起主导作用;尽管高海拔灌木层物种多样性最低,但其系统发育多样性和功能多样性最高,推断在高海拔地区亲缘关系较远的灌木物种间具有较强的互利作用或者由于恶劣的环境使亲缘关系较近的物种间发生了竞争排斥;草本层群落的构建随机过程占主导,该过程可能受历史事件或者散布限制等因素的影响,此外,草本层具有不同的系统发育(离散)和功能(趋同)结构,这可能与草本植物具有较低的系统发育信号(性状趋同)相关联。 

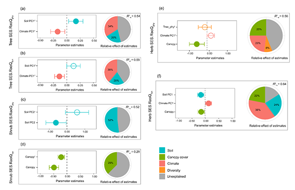
  不同空间尺度下不同生态因子对群落结构影响的分析表明,随着空间尺度的增大,生态因子的解释度呈增加的趋势,其中乔木主要受到气候因子的影响;而林下的灌木和草本主要与土壤、郁闭度和乔木层的结构密切相关。此外,乔木还通过生物过滤或者环境过滤来影响灌木和草本的群落的结构。该研究揭示了复杂森林群落的构建机制及影响群落构建的主要生态因子,相关研究结果对高山森林生态系统的保护具有重要的指导意义。 

  最近,研究成果以“Forest community assembly is driven by different strata-dependent mechanisms along an elevational gradient”为题在线发表在生态学和生物地理学主流期刊Journal of Biogeography上,在站博士后罗亚皇为论文的第一作者,李德铢研究员和合作导师高连明研究员为共同通讯作者,加拿大多伦多大学Marc Cadotte教授和美国哥伦布大学Kevin Burgess教授为论文的合作作者。该研究得到中国科学院战略性先导科技专项 (XDB31000000)、国家自然科学基金(31800354)、国家博士后基金(2017M623082)和云南省科技领军人才项目(2017HA014)的资助。 

    文章链接

 

1 森林群落内物种的系统发育树(a)和垂直群落(b : 乔木;c : 灌木;d : 草本)的系统关系。 

 

2 群落尺度不同生态因子对森林垂直群落系统发育多样性和功能多样性的相对贡献 


中国科学院昆明植物研究所

版权所有 Copyright © 2002-2025 中国科学院昆明植物研究所,All Rights Reserved 【滇ICP备05000394号
地址:中国云南省昆明市蓝黑路132号  邮政编码:650201    点击这里联系我们