中国科学院昆明植物研究所
location
当前位置:首页 > 新闻动态 > 科研进展
left
新闻动态
科研进展

同域分布兰科玉凤花属天蛾夜行传粉和种间生殖隔离研究取得新进展

文章来源:中国科学院东亚植物多样性与生物地理学重点实验室  |  发布时间:2022-06-24  |  作者:张海萍,任宗昕  |  浏览次数:  |  【打印】 【关闭

 

  生殖隔离对维持生物种间的界限具有十分重要的意义,是导致植物生物多样性的直接原因之一。开展植物近缘种种间生殖隔离研究,对于理解物种形成有着至关重要的作用。植物种间的生殖隔离并非取决于单个隔离因子,而是由一系列的传粉前隔离因子和传粉后(包括合子后)隔离因子共同作用的结果。每个隔离屏障都只能够阻止没有被前一隔离屏障阻止的基因交流,因此研究物种间生殖隔离的关键点以及困难点在于确定隔离因子及其对生殖隔离的作用顺序和强度。自达尔文以来,兰科植物的多样性被认为是适应于多样的特化传粉系统的结果。以往的研究表明兰科植物主要是通过传粉前的生殖隔离来避免种间杂交,而对其近缘物种种间传粉后隔离较弱。然而,对同域分布的兰科植物不同阶段生殖隔离因子的强度的量化研究十分匮乏。

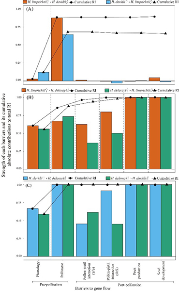
  玉凤花属(Habenaria)是兰科植物中较大的一个陆生兰属,中国有54种,横断山脉地区是其分布和多样化中心。近期,中国科学院昆明植物研究所王红研究员团队,以由鳞翅目天蛾夜间传粉的宽药隔玉凤花(Habenaria limprichtii、长距玉凤花(H. davidii)和厚瓣玉凤花(H. delavayi)为研究对象(图1),开展传粉生态学和生殖隔离量化研究。研究了生态地理隔离、物候隔离、传粉者隔离、花粉-雌蕊互作、果实形成和种子发育的强度和对总的生殖隔离的贡献个隔离因子。研究发现,三种玉凤花土壤水份含量存在明显差异,小生境表现明显的分化。宽药玉凤花与长距玉凤花开花物候重叠明显,两者的花期物候隔离较弱,而两者分别与厚瓣玉凤花开花物候重叠期仅占整个花期的1/3,花期物候隔离较强。宽药隔玉凤花和长距玉凤花共享传粉昆虫红天蛾,摆放实验表明,种内交叉访问次数极显著大于种间交叉访问次数,具有较强的行为隔离(传粉者偏好)。宽药隔玉凤花和厚瓣玉凤花共享传粉昆虫中金翅夜蛾,但花粉附着部位明显差异,显示较强的机械隔离(图1)。长距玉凤花和宽药隔玉凤花的种间杂交结实率高,胚发育表明授粉后障碍较弱,而与其他两个种对的双向杂交均不能正常结实。传粉前隔离对总隔离的贡献大于传粉后,但传粉前隔离并不完全,种间的生殖隔离依赖传粉前和传粉后隔离的共同作用(图2)。研究表明,传粉者是最重要的隔离屏障,种对间存在不同强度的传粉者介导的行为隔离和机械隔离。传粉前和传粉后隔离的共同作用是维持这三种同域物种共存和生殖隔离的重要机制。

  研究成果以Reproductive isolation among three nocturnal moth-pollinated sympatric Habenaria species (Orchidaceae)为题,在国际期刊Frontiers in Plant Science上发表。张海萍硕士研究生和中国科学院武汉植物园的陶至彬博士为论文共同第一作者,王红研究员和任宗昕副研究员为论文通讯作者。该研究得到了国家自然科学基金(31971570)、中国科学院战略性先导科技专项(XDB31000000)、云南省自然科学基金(2019FB035)等支持。

  文章链接

 

1 云南丽江玉龙雪山三种玉凤花属植物的生境、花形态和夜间传粉昆虫。 

 

三种玉凤花种间个隔离因子的强度及其对总隔离的绝对贡献。 

(责任编辑:李雪)

中国科学院昆明植物研究所

版权所有 Copyright © 2002-2025 中国科学院昆明植物研究所,All Rights Reserved 【滇ICP备05000394号
地址:中国云南省昆明市蓝黑路132号  邮政编码:650201    点击这里联系我们