中国科学院昆明植物研究所
location
当前位置:首页 > 新闻动态 > 头条新闻
left
新闻动态
头条新闻

昆明植物所在香茶菜属植物内生真菌新颖活性次生代谢产物研究中取得新进展

文章来源:植物化学与西部植物资源持续利用国家重点实验室  |  发布时间:2019-02-19  |  作者:唐健维  |  浏览次数:  |  【打印】 【关闭

 

  植物内生真菌(Endophytic fungi)是指在其生活史的一定阶段或全部阶段生活于健康植物的各种组织和器官内部而不引起被感染宿主植物出现明显病变的真菌。内生菌在与宿主长期的协同进化过程中建立了丰富的以次生代谢产物为载体的化学沟通机制,这种沟通机制的存在从而导致了内生真菌本身物种的多样性,进而导致其次生代谢产物结构与生物功能的多样性。因此,近年来,内生真菌作为结构新颖活性分子的重要来源备受研究者们的关注。 

  中国科学院昆明植物研究所重要类群植物化学及功能研究团队普诺·白玛丹增研究组长期以来着重关注于“一科一属”,即“五味子科和香茶菜属”植物次生代谢产物的系统性研究,作为拓展性的研究内容,研究组近期通过使用多级筛选策略,即LC-UVLC-MS/MS、以及Global Natural Products Social Molecular NetworkingGNPS)数据分析平台构建分子网络(Molecular networking)对香茶菜属植物内生真菌进行了大量的筛选,并对筛选后的重点菌株开展了新颖次生代谢产物的深度挖掘,近期的代表性研究成果如下: 

  1.具有Wnt信号通路抑制活性新颖杂二萜的发现: 

  从疏花毛萼香茶菜(Isodon eriocalyx var. laxiflora)一株内生青霉菌Penicillium sp. sh18中的分子网络中检测到了杂萜类化合物Andrastin A(图-1),其最早是由2015年诺贝尔生理学或医学奖获得者大村智(Satoshi ōmura)教授从一株青霉菌(Penicillium sp. FO-3929)中所发现,且其具有显著抑制法尼基转移酶活性(Farnesyltransferase Inhibitors)(The Journal of Antibiotics, 1996, 49, 414-417)。为了获得该类杂萜的类似物,研究组对Penicillium sp. sh18进行了大量发酵,并从其大米发酵物中发现了两类结构新颖的杂萜,分别为杂萜-呋喃酮杂聚型Isopenicins A B及杂萜-聚酮杂聚型Isopenicin C(图-1)。其中Isopenicin A利用X-单晶衍射分析确定了其结构及绝对构型,Isopenicins B C则通过量子化学计算NMR数据结合ANN-PRAartificial neural networks pattern recognition analysis)分析及量子化学计算电子圆二色谱(ECD)确定了其结构及绝对构型。此外,本研究工作还与昆明植物所李艳研究组合作,针对Wnt信号通路开展其活性研究,结果发现Isopenicin A是一个新颖的Wnt信号通路抑制剂,并能选择性地通过抑制Wnt信号通路从而显著抑制结肠癌细胞的生长(图-2)。 

  以上研究成果以“Isopenicins A–C: Two Types of Antitumor Meroterpenoids from the Plant Endophytic Fungus Penicillium sp. sh18”为题发表在Organic Letters2019, 21, 771-775.)。唐健维博士生和孔令梅博士为该文章的并列第一作者,普诺·白玛丹增研究员和李艳研究员为该文章的共同通讯作者。 

 

-1. Penicillium sp. sh18分子网络及isopenicins A–C结构式 

 

-2. Isopenicin A抑制Wnt信号通路 

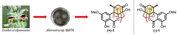
  2.利用OSMAC策略发现一对新颖的二苯并-α-吡喃酮对映异构体  

  通过LC-UV筛选发现来自于黄花香茶菜(I. sculponeatus)中的一株内生链格孢菌(Alternaria sp. hh930)具有较为丰富的次生代谢产物,随后通过利用OSMACOne strain-many compounds)研究策略优化其发酵条件,从其大米培养基中发现了一对具有二环氧笼状结构的二苯并-α-吡喃酮对映异构体,(+)-(-)-alternarilactone A(图-3)。该化合物的核心片段由于具有连续季碳且出现了多个具有欺骗性的HMBC信号,如出现了罕见的C-H四键相关(4JCH),因此对其结构解析带来了不小挑战。最终研究组通过利用量子化学计算NMR数据结合DP4+可能性分析及X-单晶衍射分析确定了其结构,同时通过手性色谱柱拆分结合量子化学计算电子圆二色谱(ECD)从而确定了其绝对构型。研究组还利用量子化学计算耦合常数证实了出现的4JCH 耦合是由于“W”耦合(“W couplings)会显著增加4JCH的耦合常数导致的(图-4)。另外,多种活性模型筛选发现,(+)-(-)-alternarilactone A具有一定的抑制皮质酮诱导的PC12细胞凋亡的活性。 

  以上研究成果以“(+)- and (-)-Alternarilactone A: Enantiomers with a Diepoxy-Cage-like Scaffold from an Endophytic Alternaria sp.”为题在线发表在Journal of Natural ProductsDOI: 10.1021/acs.jnatprod.8b00571。唐健维博士生为该文章的第一作者,普诺·白玛丹增研究员为该文章的通讯作者。 

 

-3. (+)-(-)-alternarilactone A的结构式 

 

-4. (+)-(-)-alternarilactone A中出现的“W”耦合 

(责任编辑:李雪)

中国科学院昆明植物研究所

版权所有 Copyright © 2002-2025 中国科学院昆明植物研究所,All Rights Reserved 【滇ICP备05000394号
地址:中国云南省昆明市蓝黑路132号  邮政编码:650201    点击这里联系我们