中国科学院昆明植物研究所
location
当前位置:首页 > 新闻动态 > 头条新闻
left
新闻动态
头条新闻

细胞器基因组组装利器——GetOrganelle正式在线发表

文章来源:中国西南野生生物种质资源库  |  发布时间:2020-09-12  |  作者:金建军  |  浏览次数:  |  【打印】 【关闭

 

  真核生物细胞器基因组主要包括线粒体和质体(包括叶绿体、白色体等)所包含的全部DNA分子,是细胞质遗传的主要载体。在动植物和真菌的单个细胞内,往往有多个(甚至成千上万个)细胞器基因组单元的拷贝,这使得利用低覆盖度的全基因组测序数据组装得到完整的细胞器基因组成为可能。随着DNA高通量测序技术的发展,测序成本急剧下降,低覆盖度的全基因组测序数据得以大规模产生,如何快速、准确地组装细胞器基因组对后续生物学问题的研究至关重要。细胞器基因组序列在研究真核生物系统发育、谱系地理、杂交和物种鉴定等方面具有重要价值。1986Shinozaki等破解烟草叶绿体基因组以来,特别是近年来二代测序技术的快速发展,质体系统发育基因组已成为解析植物系统发育关系不可或缺的重要手段之一。 

  中国科学院昆明植物研究所植物多样性与基因组学大团队李德铢研究组和伊廷双研究组多年来关注基于植物质体基因组的系统发育、基因组结构演化和DNA条形码研究,逐步发展了基于质体基因组数据分析的一套完善的研究体系,并取得了一系列重要进展(Ma et al., 2014. Systematic BiologyZhang et al., 2017.New PhytologistLi et al., 2019.Nature PlantsZhang et al., 2020. Systematic Biology)。该团队重视质体基因组分析方法的开发和应用,已开发一个全新的质体基因组注释软件PGA (Qu et al., 2019,Plant Methods)并得到广泛应用,并成为ESI高引用和热点论文。 

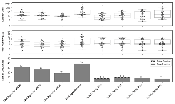
  近来针对已有细胞器基因组组装软件组装流程存在的低效率、低成功率、低准确度,以及需要大量人工介入等问题,该团队联合中国科学院西双版纳热带植物园和美国宾州州立大学合作团队开发了一套全新的细胞器基因组组装工具GetOrganelle,实现了大规模细胞器基因组快速、准确地组装。GetOrganelle的核心流程包括:1)通过“种子”序列获得部分目标相关reads,2)延伸reads获得所有目标相关reads,3)对reads进行从头组装得到组装图形,4)过滤组装图形,5)识别细胞器组分并自动导出所有可能的细胞器基因组结构(图1)。GetOrganelle在“baiting and iterative mapping”的基础上提出了大大提高延伸效率的reads预分群算法;提出了适用于细胞器基因组的估算contigs拷贝数的算法,该算法能综合组装图信息和测序深度信息(图2)。基于50个植物物种的公开reads数据集的测试显示,在计算资源消耗略高的情况下,GetOrganelle的默认参数的完整成环率(78%)远高于目前使用最广泛的工具NOVOPlasty的最好参数的结果(16%);而资源消耗接近甚至更低的情况下,GetOrganelle仍然能保持远高于NOVOPlasty的成环率。并且NOVOPlasty在K=23和K=31的情况下约20%~25%的假阳性率(错误结果谎称完整成环)(图3)。在不同参数的测试下,GetOrganelle的结果一致性优于NOVOPlasty。Read mapping进一步显示,GetOrganelle的结果准确性不仅高于NOVOPlasty,也高于基于相同reads数据的已发表结果(图4),并发现了部分已发表结果的明显组装错误。在56个动物数据和50个真菌数据测试中,GetOrganelle也获得了比NOVOPlasty更高的线粒体基因召回率。值得一提的是,在Freudenthal et al. (2020) 针对主流叶绿体基因组组装工具(包括chloroExtractor、Fast-Plast、GetOrganelle、IOGA、NOVOPlasty、org.ASM等)的基准检测文章中,GetOrganelle也获得了远高于其他工具的成环率和准确性,并被推荐作为默认(组装工具)选项。 

  2020年9月10日,该研究成果以 “GetOrganelle: a fast and versatile toolkit for accurate de novo assembly of organelle genomes”为题正式在线发表于国际遗传学/生物技术权威期刊Genome Biology杂志上(https://doi.org/10.1186/s13059-020-02154-5)。 昆明植物研究所金建军博士和西双版纳热带植物园郁文彬博士为该论文的并列第一作者,李德铢研究员和伊廷双研究员为通讯作者。该研究得到中国科学院战略性先导科技专项(XDB31000000)、国家自然基金重点国际(地区)合作研究项目(No.31720103903)、中国科学院大科学装置开放研究项目(2017-LSFGBOWS-02)和中国西南野生生物种质资源库“交叉合作团队”项目的资助。  

  GetOrganelle的源代码于2016年4月在GitHub第一次上线。2018年5月,报道GetOrganelle的第一版预印稿在bioRxiv上线。2020年3月,GetOrganelle快装版在Bioconda上线。截止发稿前,GetOrganelle的预印稿在谷歌学术搜索(Google Scholar)中已被引用超过230次。此外,GetOrganelle的动物meta-mitogenomics测试版已经上线,利用三代测序数据进行组装的功能正在开发中,该工具的扩展新功能值得期待。 

 

图1. GetOrganelle的工作流程图 

 

图2. GetOrganelle的contigs拷贝数估算及基因组结构导出算法示例 

  

图3. GetOrganelle和NOVOPlasty分别在50个公开植物数据上的四组不同参数的测试结果 

  

图4. 基于Read mapping用50种植物的公开数据,评估并比较GetOrganelle组装质量、NOVOPlasty组装质量的和已发表的质体基因组的组装质量,统计三者在组装质量上最好(最多reads数、最高深度或者最低错误率)的样本个数。 

(责任编辑:李雪)

中国科学院昆明植物研究所

版权所有 Copyright © 2002-2025 中国科学院昆明植物研究所,All Rights Reserved 【滇ICP备05000394号
地址:中国云南省昆明市蓝黑路132号  邮政编码:650201    点击这里联系我们